Задать свой вопрос   *более 50 000 пользователей получили ответ на «Решим всё»

Задача 35554 ...

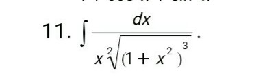
Условие

∫ (1/(x^2)* sqrt((1+x^2)^3))dx
Пожалуйста помогите,только не на электронном калькуляторе-ьам получается неверно, решите сами и пожалуйста поскорее.

математика ВУЗ 415

Все решения

1 способ.
Подстановка
1/x=t
x=1/t
dx=-dt/t^2

1+x^2=1+(1/t)^2=(t^2+1)/t^2

тогда

∫dx/(x^2)*sqrt((1+x^2)^3)= ∫t^2*(-dt/t^2)/sqrt(((t^2+1)/t^2)^3)=

= - ∫ tdt/(t^2+1)^(3/2)=(-1/2)∫ (t^2+1)^(-3/2) d(t^2+1)=

=(-1/2)*(t^2+1)^(-1/2)/(-1/2)=1/sqrt(t^2+1) + С=

=x/sqrt(x^2+1) + C

Написать комментарий

Меню

Присоединяйся в ВК