Задать свой вопрос
*более 50 000 пользователей получили ответ на «Решим всё»
Задача 35552
Алгебра, 10 класс. log^2_1/3_x -...
Условие
pr3tt7h8m4ch1n3
2019-04-08 22:32:21
Алгебра, 10 класс.
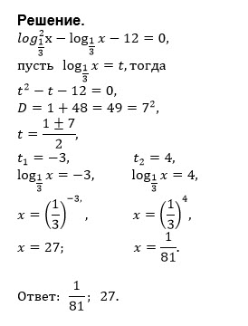
log^2_1/3_x - log_1/3_x - 12 = 0
математика 10-11 класс
742
Все решения
u821511235
2019-04-09 07:59:33
Написать комментарий
Меню
Решим всё
Найти задачу
Категории
Статьи
Тесты
Архив задач
Присоединяйся в ВК