Задать свой вопрос   *более 50 000 пользователей получили ответ на «Решим всё»

Задача 35507 Прибор состоит из 50 независимо...

Условие

Прибор состоит из 50 независимо работающих элементов. Вероятность отказа каждого из них за время t равна 0,02. Найти вероятность того, что за это время откажут 2 элементов.

математика ВУЗ 719

Решение

Повторные испытания с двумя исходами
n=50
p=0,02
n-велико, р мало.

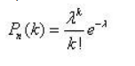
Применяем формулу Пуассона ( см. приложение)

p=0,02(формула применяется при p ≤ 0,1)

λ=n*p==1 (формула применяется λ ≤ 10)
k=2

P=e^(-1)/2!=1/(2e)=0,183823≈0,18

Написать комментарий

Меню

Присоединяйся в ВК