a) 2 log^2_(0,25) sin x + 7 log(0,25) sin x - 4 = 0
b) [ - 7π/2 ; -2π ]
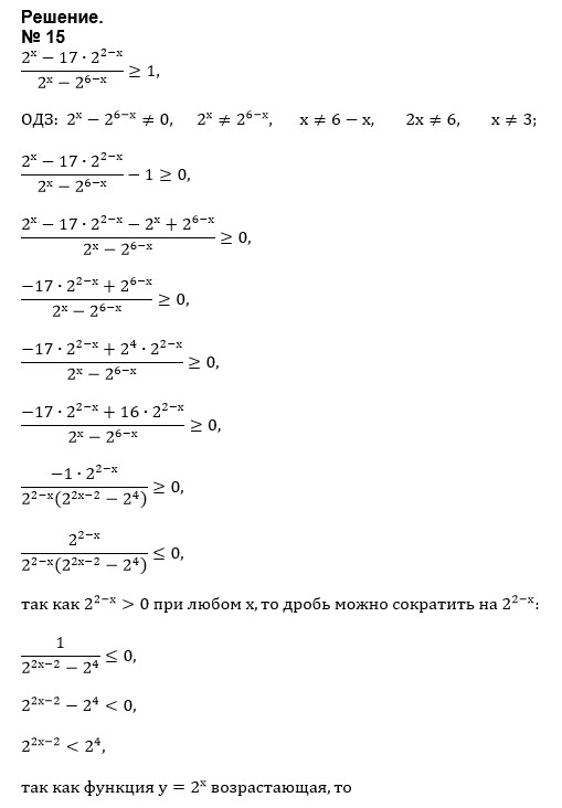
15. (2^x - 17 · 2^(2-x)) / (2^x - 2^(6-x)) >= 1
[b]x∈(2πk,π+2πk), k∈Z[/b]
Замена переменной
log_(0,25)sinx=t
2t^2+7t-4=0
D=49-4*2*(-4)=81
t_(1)=(-7-9)/4=-4; t_(1)=(-7+9)/4=1/2;
Обратно:
log_(0,25)sinx=-4 или log_(0,25)sinx=1/2
sinx=(0,25)^(-4) или sinx=(0,25)^(1/2)
sinx=16 - уравнение не имеет корней в силу ограниченности синуса
sinx=1/2
[b]x=(-1)^(n)*(π/6)+πn, n ∈ Z[/b]
Найденные корни принадлежат ОДЗ ( 1/2>0)
Указанному промежутку принадлежит один корень
x=(5π/6)-4π= [b] -19π/6[/b]
[b]-7π/2[/b]=-21π/6 < [b] -19π/6[/b] < -12π/6= [b]-2π[/b]
О т в е т. a) (-1)^(n)*(π/6)+πn, n ∈ Z; б) -19π/6
2.
Умножаем и числитель и знаменатель дроби справа на 2^(x):
((2^(x))^2-68)/((2^(x))^2-64) ≥ 1
(4^x-68)/(4^(x)-64)≥ 1
[b]Замена переменной:[/b]
4^(x)=t
t>0
(t-68)/(t-64) - 1 ≥ 0
(t-68-t+64)/(t-64) ≥ 0
-4/(t-64) ≥ 0
1/(t-64) ≤ 0
t-64 <0
Обратный переход:
4^(x) -64 < 0
4^(x) < 64
4^(x) < 4^3
[b]x < 3 [/b]
О т в е т. (- ∞ ; 3)

