Задать свой вопрос   *более 50 000 пользователей получили ответ на «Решим всё»

Задача 35368 2^x*5^((1+x)/x) = 50, 9^(log3x) -...

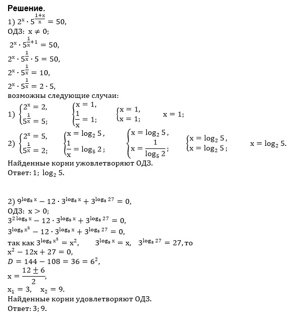
Условие

2^x*5^((1+x)/x) = 50,

9^(log3x) - 12*3^(log3x) + 3^(log327) = 0

математика 10-11 класс 1608

Решение

Все решения

1.
ОДЗ: х ≠ 0

Логарифмируем по основанию 2
lоg_(2)(2^(x)*5^((x+1)/x))=lоg_(2)50

Логарифм произведения равен сумме логарифмов
lоg_(2)(2^(x)) + log_(2)*5^((x+1)/x))=lоg_(2)2+log_(2)25

x+((x+1)/x)log_(2)5=1+2log_(2)5

(x-1) + (((x+1)/x) - 2)log_(2)5=0

(x-1) + (1-x)/x*log_(2)5=0

(x-1)* (1- (1/x)log_(2)5)=0

x-1=0 или 1- (1/x)log_(2)5)=0

[b]x=1 или x=log_(2)5[/b]

При х=log_(2)5

2^(log_(2)5) * 5^((log_(2)5+1)/log_(2)5)=

=5 ^(log_(2)5+log_(2)2)/log_(2)5)

=5 * 5 ^(log_(2)10/log_(2)5)= 5* 5^(log_(5)10)=5*10=50

50=50 - верно

О т в е т. 1; log_(2)5
2.
Основное логарифмическое тождество:
3^(log_(3)x)=x
x>0


9^(log_(3)x)=(3^(2))^(log_(3)x)=(3^(log_(3)x))^2=x^2
3^(log_(3)27)=27

Уравнение

x^2-12x+27=0

D=144-2*27=36
x_(1)=(12-6)/2=3; x_(2)=(12+6)/2=9

О т в е т. [b]3; 9[/b]

[b]P.S.[/b]
Предыдущее решение первой задачи [b]неверное,[/b] так как решено способом перебора (подбора) вариантов.

Такой метод решения предполагает [b]доказательство[/b] того факта, что все рассмотренные случаи единственно возможные, т. е что других случаев точно нет.

А это невозможно, так как может быть бесчисленное множество разложений чиcла 10:
(1/4)*(40)
sqrt(2)* sqrt(50)

и т.д.

Есть [b]стандартные методы решения[/b] показательных уравнений:

приравнивание оснований,
разложение на множители и приравнивание к 0
сведение к алгебраическому (замена переменной)
логарифмирование
графический способ.



Написать комментарий

Меню

Присоединяйся в ВК