Задать свой вопрос   *более 50 000 пользователей получили ответ на «Решим всё»

Задача 35346 Найти производные первого порядка данных...

Условие

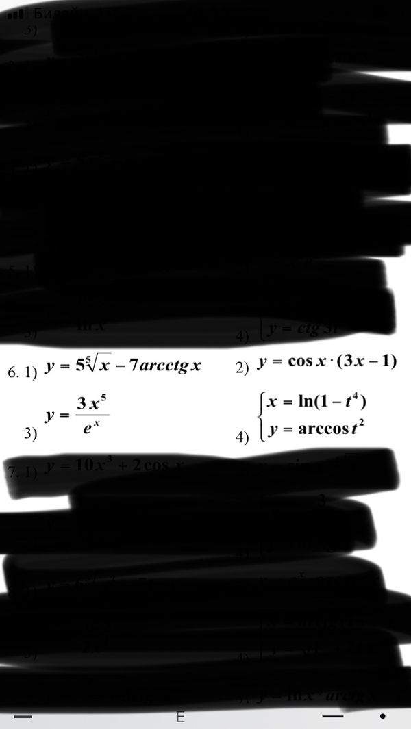
Найти производные первого порядка данных функций, используя правила вычисления производных.

математика ВУЗ 808

Все решения

1)y'=x^(-4/5)+7/(1+x^2)
2)y'=-sinx*(3x-1)+3cosx
3)y'=(15x^4e^x-3e^xx^5)/e^(2x)
4)dy/dx=y'_(t)/x'_(t)= sqrt(1-t^4)/2t^2

y'_(t)=-2t/ sqrt(1-t^4)
x'_(t)=-4t^3/1-t^4

Написать комментарий

Меню

Присоединяйся в ВК