Задать свой вопрос
*более 50 000 пользователей получили ответ на «Решим всё»
Задача 3534
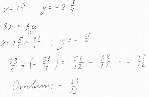
3х+3у если х=1 5/6 у=-2 3/4...
Условие
NatalyaKarpova
05.09.2015
3х+3у если х=1 5/6 у=-2 3/4
математика 6-7 класс
1777
Решение
slava191
05.09.2015
★
Если я вас правильно понял...
Написать комментарий
Меню
Решим всё
Найти задачу
Категории
Статьи
Тесты
Архив задач
Присоединяйся в ВК