Задать свой вопрос
*более 50 000 пользователей получили ответ на «Решим всё»
Задача 3533
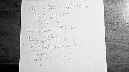
(2/x+1+10/x^2-3x-4+3x/x-4):3x+2/3...
Условие
MihailSirotkin
05.09.2015
(2/x+1+10/x^2-3x-4+3x/x-4):3x+2/3
математика 6-7 класс
3392
Решение
slava191
05.09.2015
★
Кажись вы чутка ошиблись в условии...
Написать комментарий
Меню
Решим всё
Найти задачу
Категории
Статьи
Тесты
Архив задач
Присоединяйся в ВК