Задать свой вопрос   *более 50 000 пользователей получили ответ на «Решим всё»

Задача 35283 ...

Условие

Найти производную

7cos 5x - 2^(x+3);

sin 4x * e^(3x) + (cos 4x)^x;

arctg (1/x) - 2sqrt(5x + 4);

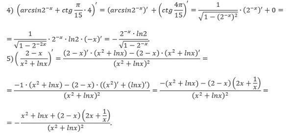
arcsin 2^(-x) + ctg (π/15) 4;

(2 - x)/(x² + ln x).

математика ВУЗ 776

Решение

Написать комментарий

Меню

Присоединяйся в ВК