Задать свой вопрос
*более 50 000 пользователей получили ответ на «Решим всё»
Задача 35179
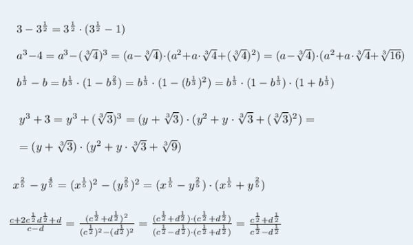
Помогите пожалуйста с математикой, очень...
Условие
vk448506043
2019-04-01 14:02:48
Помогите пожалуйста с математикой, очень срочно нужно!
математика 10-11 класс
605
Решение
sova
2019-04-01 14:32:09
★
Написать комментарий
Меню
Решим всё
Найти задачу
Категории
Статьи
Тесты
Архив задач
Присоединяйся в ВК