Задать свой вопрос   *более 50 000 пользователей получили ответ на «Решим всё»

Задача 35174 Картинка 1)Найдите производную Картинка...

Условие

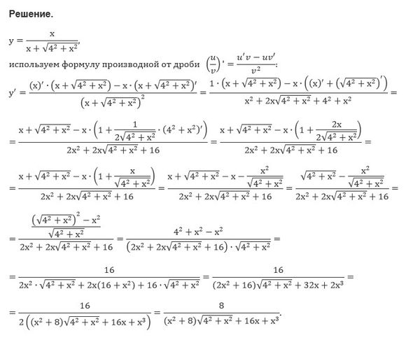
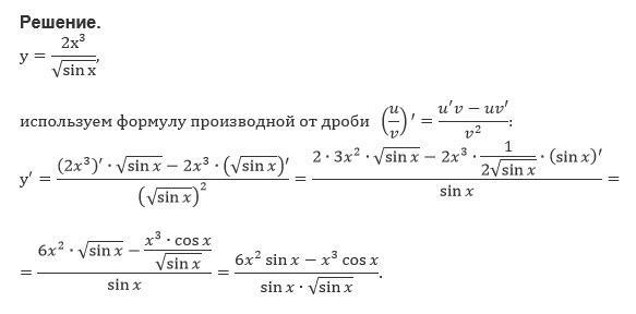
Картинка 1)Найдите производную

Картинка 2)В прошлый раз этот ответ очень помог мне, было бы неплохо, если бы вы дали ответ в таком формате:)

математика 10-11 класс 988

Решение

Написать комментарий

Меню

Присоединяйся в ВК