Задать свой вопрос
*более 50 000 пользователей получили ответ на «Решим всё»
Задача 35140
Упростите выражение...
Условие
irinannnna
2019-03-30 15:48:41
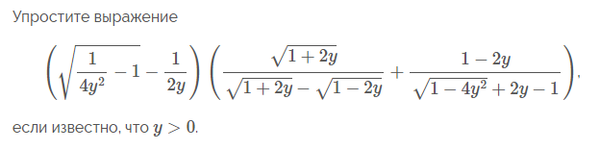
Упростите выражение
математика 10-11 класс
759
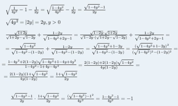
Решение
sova
2019-03-30 18:35:55
★
Написать комментарий
Меню
Решим всё
Найти задачу
Категории
Статьи
Тесты
Архив задач
Присоединяйся в ВК