Задать свой вопрос
*более 50 000 пользователей получили ответ на «Решим всё»
Задача 35132
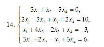
Применяя метод исключения неизвестных...
Условие
vk92299033
2019-03-30 14:07:05
Применяя метод исключения неизвестных (метод Гаусса), решить систему линейных уравнений.
математика
1815
Решение
sova
2019-03-30 14:25:33
★
Написать комментарий
Меню
Решим всё
Найти задачу
Категории
Статьи
Тесты
Архив задач
Присоединяйся в ВК