Задать свой вопрос
*более 50 000 пользователей получили ответ на «Решим всё»
Задача 35105
Помогите пожалуйста решить срочно надо ...
Условие
retrooo
2019-03-29 09:10:01
Помогите пожалуйста решить срочно надо
математика 10-11 класс
617
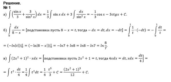
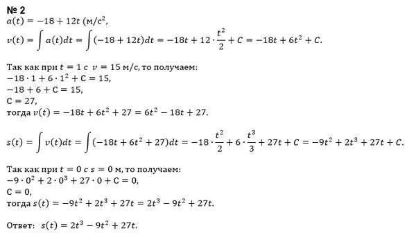
Решение
u821511235
2019-03-29 09:34:49
★
Написать комментарий
Меню
Решим всё
Найти задачу
Категории
Статьи
Тесты
Архив задач
Присоединяйся в ВК