Задать свой вопрос
*более 50 000 пользователей получили ответ на «Решим всё»
Задача 35077
...
Условие
raffaello
2019-03-28 18:19:54
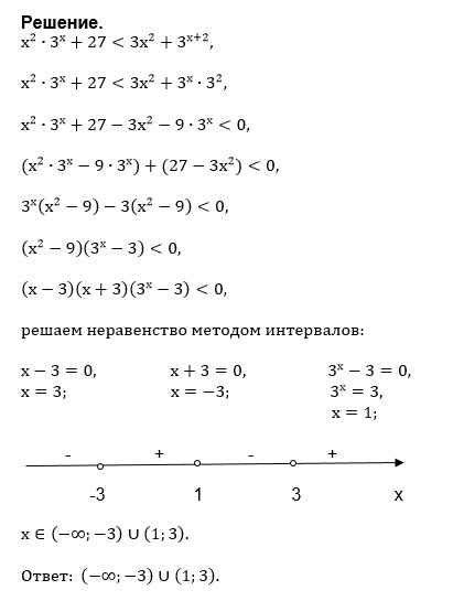
X² · 3^x + 27 < 3X² + 3^(x+2)
математика
697
Все решения
u821511235
2019-03-28 19:08:39
Написать комментарий
Меню
Решим всё
Найти задачу
Категории
Статьи
Тесты
Архив задач
Присоединяйся в ВК