Задать свой вопрос   *более 50 000 пользователей получили ответ на «Решим всё»

Задача 3507 Конус объёмом 5,3 вписан в шар. Радиус...

Условие

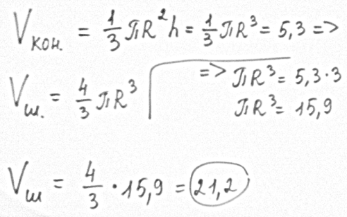
Конус объёмом 5,3 вписан в шар. Радиус основания конуса равен радиусу шар. Найдите объем шара.

математика 10-11 класс 17199

Решение



Ответ: 21,2

Написать комментарий

Меню

Присоединяйся в ВК