Задать свой вопрос   *более 50 000 пользователей получили ответ на «Решим всё»

Задача 3506 Найдите 18cos2a, если cosa = 0,7...

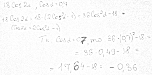
Условие

Найдите 18cos2a, если cosa = 0,7

математика 10-11 класс 12158

Решение



Ответ: -0.36

Вопросы к решению (1)

Написать комментарий

Меню

Присоединяйся в ВК