Задать свой вопрос   *более 50 000 пользователей получили ответ на «Решим всё»

Задача 35003 Решить интеграл, только письменно прошу!...

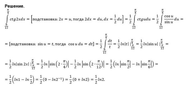
Условие

Решить интеграл, только письменно прошу! Прикрепите фото с решением , а то записью не понятно!!!

математика ВУЗ 745

Решение

можете потом просто подставить значения п/4 и п/12 в ответ

Все решения

Написать комментарий

Меню

Присоединяйся в ВК