Задать свой вопрос   *более 50 000 пользователей получили ответ на «Решим всё»

Задача 34996 К графику функции y=cos x +11 x в точке...

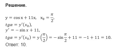
Условие

К графику функции y=cos x +11 x в точке с абсциссой x0=число пи/2 проведена касательная.Найдите тангенс угла наклона касательной к оси абсцисс.

математика 10-11 класс 1860

Все решения

Написать комментарий

Меню

Присоединяйся в ВК