Задать свой вопрос
*более 50 000 пользователей получили ответ на «Решим всё»
Задача 34991
Решите пожалуйста ОЧЕНЬ СРОЧНО...
Условие
svdy031
2019-03-27 09:35:50
Решите пожалуйста
ОЧЕНЬ СРОЧНО
математика ВУЗ
733
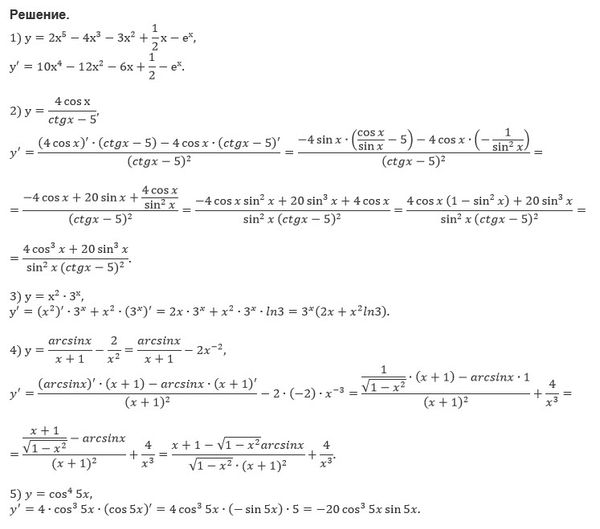
Решение
u821511235
2019-03-27 10:21:49
★
Написать комментарий
Меню
Решим всё
Найти задачу
Категории
Статьи
Тесты
Архив задач
Присоединяйся в ВК