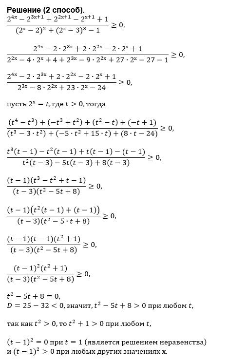
[b]2^(x)=t[/b]
t>0
Упрощаем
числитель:
t^4-2t^3+2t^2-2t+1=(t^4+2t^2+1)-2t(t^2+1)=(t^2+1)^2-2t(t^2+1)=
=(t^2+1)*(t^2+1-2t)=(t^2+1)*(t-1)^2
Упрощаем
знаменатель:
(t-2)^2+(t-3)^3-1=
=(t-3+1)^2+((t-3)^3-1=
=(t-3)^2+2(t-3)+1+(t-3)^3-1=
=(t-3)^3+(t-3)^2+2(t-3)=
=(t-3)*((t-2)^2+(t-3)+2)
Во второй скобке
u^2+u+2 > 0
D<0
Итак,
[b]неравенство принимает вид:[/b]
[b]((t^2+1)*(t-1)^2)/(t-3)*((t-3)^2+(t-3)+2) ≥ 0 [/b]
которое равносильно неравенству
[b](t-1)^2/(t-3) ≥ 0 [/b]
метод интервалов:
(0) _-__ [1] __-__ (3) __+__
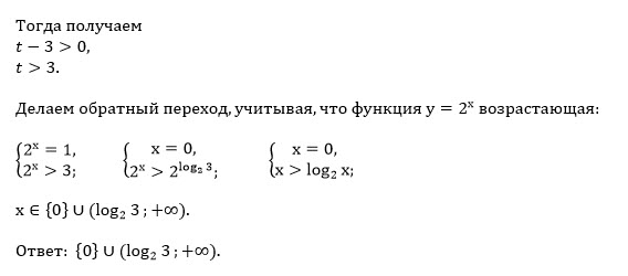
t=1 или t >3
[b]2^x=1[/b] или [b]2^x > 3[/b]
Показательная функция с основанием 2 возрастает
[b]x=0[/b] или [b]x > log_(2)3[/b]
О т в е т. [b]{0} U ( log_(2)3; + ∞ )[/b]

