Задать свой вопрос   *более 50 000 пользователей получили ответ на «Решим всё»

Задача 34964 ...

Условие

∫ (2x-1)arcsin3xdx

математика ВУЗ 970

Все решения

По частям
u=arcsin3x ⇒ du=3dx/sqrt(1-9x^2)
dv=(2x-1)dx ⇒ v=x^2-x

u*v- ∫ vdu= (x^2-x)arcsin3x - ∫(x^2-x)dx/sqrt(1-9x^2) =

=(x^2-x)arcsin3x - ∫x^2dx/sqrt(1-9x^2)- ∫xdx/sqrt(1-9x^2) =

=(x^2-x)arcsin3x +(1/9) ∫(-9x^2)dx/sqrt(1-9x^2)-∫xdx/sqrt(1-9x^2) =

=(x^2-x)arcsin3x +(1/9) ∫(1-9x^2)dx/sqrt(1-9x^2)-(1/9)∫dx/sqrt(1-9x^2)- ∫x)dx/sqrt(1-9x^2) =

=(x^2-x)arcsin3x +(1/9) ∫sqrt(1-9x^2)dx -(1/9)∫dx/sqrt(1-9x^2)- ∫xdx/sqrt(1-9x^2) =

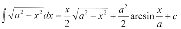
=(x^2-x)arcsin3x +(3/9) [b]∫sqrt((1/9)-x^2)dx[/b] -(1/9)∫dx/sqrt(1-9x^2)- (-1/18)∫(-18)xdx/sqrt(1-9x^2) =

= [b](x^2-x)arcsin3x +(3/9) *((x/2)sqrt((1/9)-x^2)+(3/9)*(1/2)arcsin(x/(1/3)) -(1/9)(1/3)arcsin(3x)+ (1/18)*2sqrt(1-9x^2) + C[/b]

Написать комментарий

Категория

Меню

Присоединяйся в ВК