Задать свой вопрос   *более 50 000 пользователей получили ответ на «Решим всё»

Задача 34933 Помогите решить пожалуйста Вычислить...

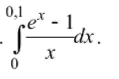
Условие

Помогите решить пожалуйста
Вычислить приближенно определенный интеграл, используя
разложение подынтегральной функции в степенной ряд. Результат получить с
точностью до 0,001.

математика 1025

Решение

e^(x)=1+x+(x^2/2!)+(x^3/3!)+ ...

e^(x)-1=x+(x^2/2!)+(x^3/3!)+ ...

(e^(х)-1)/х=1+(x/2!)+(x^2/3!)+ ...

∫ ^(0,1)_(0)(e^x-1)dx/x= ∫ ^(0,1)_(0)(1+(x/2!)+(x^2/3!))dx=

=x+(x^2/2!)+(x^3/3!)|^(0,1)_(0)=

=0,1+(0,01/2)+(0,001/6)=0,1+0,005+0,00016=1,00516 ≈ 1,005

Написать комментарий

Меню

Присоединяйся в ВК