Задать свой вопрос   *более 50 000 пользователей получили ответ на «Решим всё»

Задача 34932 Помогите решить Найти область сходимости...

Условие

Помогите решить
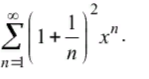
Найти область сходимости степенного ряда.

математика 10-11 класс 609

Решение

a_(n)=(1+(1/n))^2=((n+1)/n)^2

a_(n+1)=((n+2)/n)^2

R=lim_(n→∞)a_(n)/a_(n+1)= lim_(n→∞)(n+1)^2/(n^2+2n)=1

При х=1

ряд ∑((n+1)/n)^2 расходится при n→∞, a_(n)~1

При x=-q
ряд ∑(-1)^(n) *((n+1)/n)^2 расходится при n→∞
(a_(n)): -1;1;-1;1 не имеет предела.

О т в е т. (-1;1)

Написать комментарий

Меню

Присоединяйся в ВК