Задать свой вопрос   *более 50 000 пользователей получили ответ на «Решим всё»

Задача 34931 Помогите решить Исследовать на...

Условие

Помогите решить
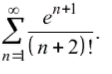
Исследовать на сходимость числовой ряд.

математика 10-11 класс 583

Решение

По признаку Даламбера
lim_(n→ ∞)a_(n+1)/a_(n)= lim_(n→ ∞) (e^(n+2)/(n+3)!) : (e^(n+1)/(n+2)!)=

=lim_(n→ ∞) e/(n+3) =0 < 1

ряд сходится

Написать комментарий

Меню

Присоединяйся в ВК