Задать свой вопрос
*более 50 000 пользователей получили ответ на «Решим всё»
Задача 34874
...
Условие
vk484300635
2019-03-24 17:25:00
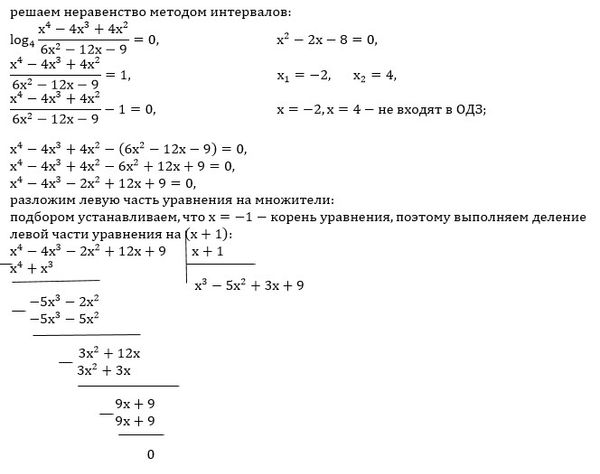
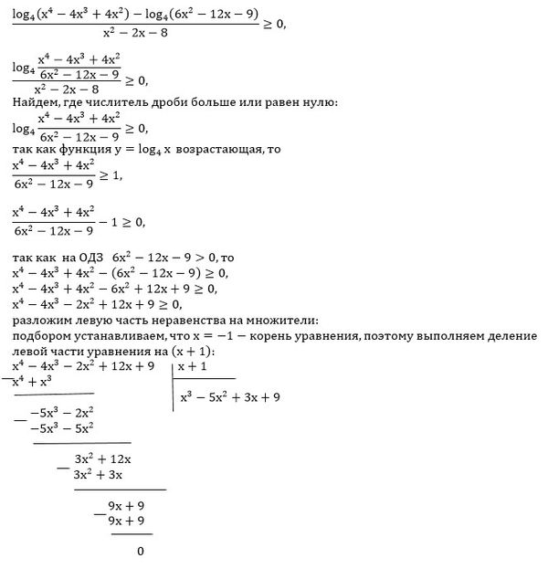
[block] (log4(x^4-4x^3+4x^2)-log4(6x^2-12x-9))/(x^2-2x-8) ≥ 0 [/block]
математика 10-11 класс
6638
Решение
u821511235
2019-03-24 20:53:08
★
Написать комментарий
Категория
ЕГЭ по Математике (проф.)
задание 15 (неравенство)
Меню
Решим всё
Найти задачу
Категории
Статьи
Тесты
Архив задач
Присоединяйся в ВК