Задать свой вопрос
*более 50 000 пользователей получили ответ на «Решим всё»
Задача 34864
...
Условие
vk484300635
2019-03-24 15:44:24
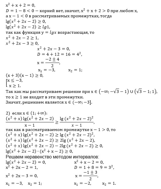
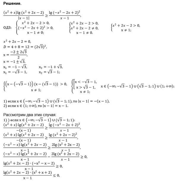
Решить неравенство ((x^2+x)lg(x^2+2x-2))/|x-1| ≥ (lg(-x^2-2x+2)^2)/(x-1)
математика 10-11 класс
18637
Решение
u821511235
2019-03-24 16:15:16
★
Все решения
sova
2019-03-24 21:32:56
Написать комментарий
Категория
ЕГЭ по Математике (проф.)
задание 15 (неравенство)
Меню
Решим всё
Найти задачу
Категории
Статьи
Тесты
Архив задач
Присоединяйся в ВК