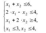
найти координаты угловых точек.
Строим прямую x_(1)+x_(2)=6
по двум точкам (0;6) и (6;0)
Выбираем произвольную точку из любой области, например, точку (0;0)
Подставляем в первое неравенство
0+0 ≤ 6 - верно.
Значит первое неравенство задает ту область, которая содержит точку (0;0)
Первое неравенство задает область 1 ( см. рис)
второе - область 2, ...
Система неравенств задает область на рис. 6
Координаты угловых точек-координаты границ, задающих неравенство.
Например, координаты точки А находим из системы:
{2x_(1)-x_(2)=4
{x_(1)+2x_(2)=4
Умножаем первое уравнение на 2
{4x_(1)-2x_(2)=8
{x_(1)+2x_(2)=4
и складываем
5x_(1)=12
x_(1)=12/5=2,4
x_(2)=2x_(1)-4=2*2,4-4=0,8
А(2,4;0,8)
Остальные координаты на рисунке ≤ 