Задать свой вопрос   *более 50 000 пользователей получили ответ на «Решим всё»

Задача 34819 ...

Условие

При вычислении значения квадратного корня из числа, не являющегося полным квадратом, за неимением калькулятора или чего–либо подобного (например, на ЕГЭ по математике) для приближённого вычисления используют формулу:

√1+x = 1 + x/2 – x2/8 + x3/16 ..., –1 < x < 1

Вычисление будет тем точнее, чем меньше число х. (Если исходное число большое, то его предварительно преобразуют в произведение квадрата числа, меньшего данного, на число, чуть большее или меньшее единицы.) Используя приведённую формулу, вычислите √26 с точностью до сотых.

математика 10-11 класс 3428

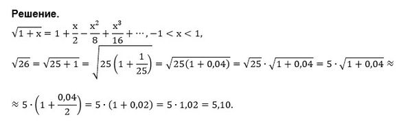
Решение

Все решения

sqrt(26)=sqrt(25+1)=sqrt(25*(1+(1/25))=5sqrt(1+0,04)

sqrt(1+0,04)=1+ (0,04)/2- (0,04)^2/8+...

так как
(0,04)/2=0,02

(0,04)^2/8=0,0016/8=0,0002< 0,001

для получения требуемой точности
достаточно взять [b] два слагаемых.[/b]

[b]sqrt(26)[/b]=5sqrt(1+0,04) [b]≈[/b] 5*(1+0,02)= [b]5,1[/b]

cравним с
sqrt(26)=5,0990... ≈ 5,1

Написать комментарий

Меню

Присоединяйся в ВК