Задать свой вопрос
*более 50 000 пользователей получили ответ на «Решим всё»
Задача 34773
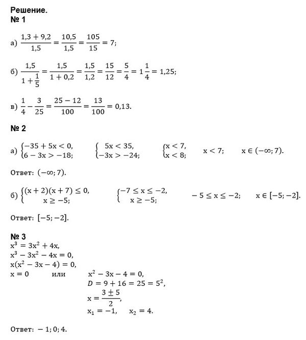
Выполнить задание к 25.03...
Условие
dianka0705
2019-03-21 19:26:48
Выполнить задание к 25.03
предмет не задан
753
Все решения
u821511235
2019-03-21 20:03:44
Написать комментарий
Меню
Решим всё
Найти задачу
Категории
Статьи
Тесты
Архив задач
Присоединяйся в ВК