Задать свой вопрос
*более 50 000 пользователей получили ответ на «Решим всё»
Задача 34731
...
Условие
radostmalchikov
2019-03-20 19:19:37
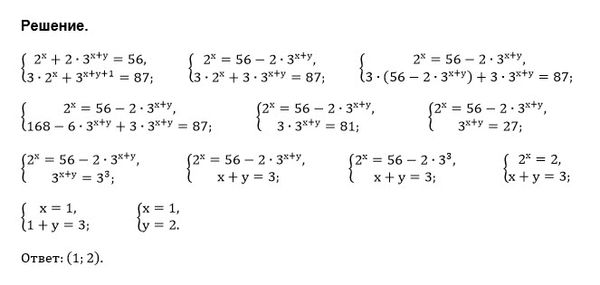
Решить систему
{ 2^x + 2×3^(x+y) = 56
{ 3×2^x + 3^(x+y+1) = 87
математика 10-11 класс
629
Решение
u821511235
2019-03-20 19:39:44
★
Написать комментарий
Меню
Решим всё
Найти задачу
Категории
Статьи
Тесты
Архив задач
Присоединяйся в ВК