Задать свой вопрос
*более 50 000 пользователей получили ответ на «Решим всё»
Задача 34730
Решить систему { 2^x * 3^y = 648 { 3^x...
Условие
radostmalchikov
2019-03-20 19:19:18
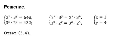
Решить систему
{ 2^x * 3^y = 648
{ 3^x * 2^y = 432
математика 10-11 класс
612
Решение
u821511235
2019-03-20 19:46:55
★
Написать комментарий
Меню
Решим всё
Найти задачу
Категории
Статьи
Тесты
Архив задач
Присоединяйся в ВК