Задать свой вопрос
*более 50 000 пользователей получили ответ на «Решим всё»
Задача 34729
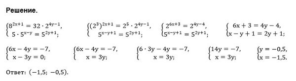
Решить систему { 8^(2x+1)= 32 *...
Условие
radostmalchikov
2019-03-20 19:18:57
Решить систему
{ 8^(2x+1)= 32 * 2^(4y-1)
{ 5 * 5^(x-y) = 5^(2y+1)
математика 10-11 класс
612
Решение
u821511235
2019-03-20 19:55:44
★
Написать комментарий
Меню
Решим всё
Найти задачу
Категории
Статьи
Тесты
Архив задач
Присоединяйся в ВК