Задать свой вопрос
*более 50 000 пользователей получили ответ на «Решим всё»
Задача 34727
...
Условие
vk411719339
2019-03-20 19:07:47
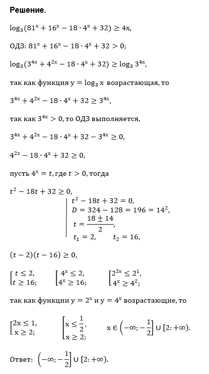
Решить неравенство log3(81^x+16^x-18*4^x+32) ≥ 4x
математика 10-11 класс
2588
Все решения
u821511235
2019-03-20 21:06:29
Написать комментарий
Категория
ЕГЭ по Математике (проф.)
задание 15 (неравенство)
Меню
Решим всё
Найти задачу
Категории
Статьи
Тесты
Архив задач
Присоединяйся в ВК