Задать свой вопрос   *более 50 000 пользователей получили ответ на «Решим всё»

Задача 3472 Какова длина математического маятника,...

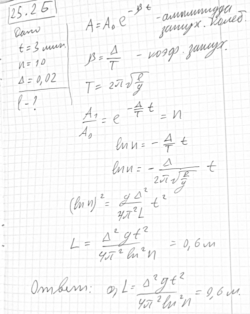
Условие

Какова длина математического маятника, если за t = 3 мин его амплитуда уменьшилась в n = 10 раз. Логарифмический декремент маятника = 0.02.

физика ВУЗ 3029

Решение



Ответ: В решение

Написать комментарий

Меню

Присоединяйся в ВК