Задать свой вопрос   *более 50 000 пользователей получили ответ на «Решим всё»

Задача 34706 ...

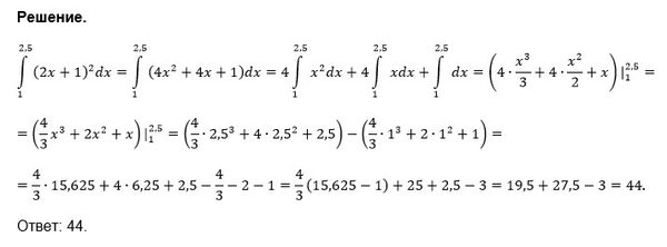
Условие

Вычислить интеграл по определению
2,5
∫ (2х+1)^2dx
1

математика ВУЗ 966

Все решения

Определение.Определённым интегралом от непрерывной функции f(x) на конечном отрезке [a, b] (где a < b ) называется приращение какой-нибудь её первообразной на этом отрезке.

f(x)=(2x+1)^2
F(x)=(1/2)*((2x+1)^3/3)=(2x+1)^3/6

F(2,5)=(2*2,5+1)^3/6=6^3/6=6^2=36
F(1)=(2*1+1)^3/6=27/6=4,5

∫ ^(2,5)_(1)(2x+1)^2dx=F(2,5)-F(1)=36-4,5= [b]31,5[/b]

Написать комментарий

Категория

Меню

Присоединяйся в ВК