Задать свой вопрос
*более 50 000 пользователей получили ответ на «Решим всё»
Задача 3468
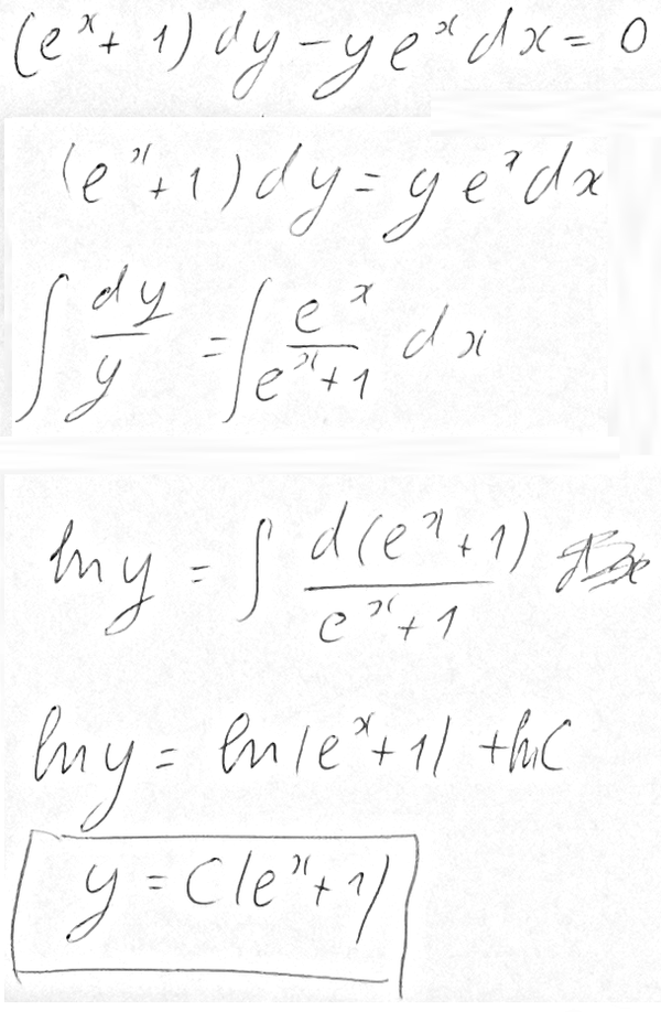
(e^x + 1)dy - ye^xdx = 0 решить...
Условие
slava191
18.08.2015
(e^x + 1)dy - ye^xdx = 0 решить дифференциальное уравнение
математика ВУЗ
7366
Решение
Ответ:
В решение
Написать комментарий
Меню
Решим всё
Найти задачу
Категории
Статьи
Тесты
Архив задач
Присоединяйся в ВК