Задать свой вопрос
*более 50 000 пользователей получили ответ на «Решим всё»
Задача 3467
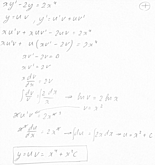
xy' - 2y = 2x^4 решить дифференциальное...
Условие
slava191
18.08.2015
xy' - 2y = 2x^4 решить дифференциальное уравнение
математика ВУЗ
12605
Решение
Ответ:
В решение
Написать комментарий
Меню
Решим всё
Найти задачу
Категории
Статьи
Тесты
Архив задач
Присоединяйся в ВК