Задать свой вопрос   *более 50 000 пользователей получили ответ на «Решим всё»

Задача 34665 Решите уравнение 4^x-4^(sqrt(x)+1) =...

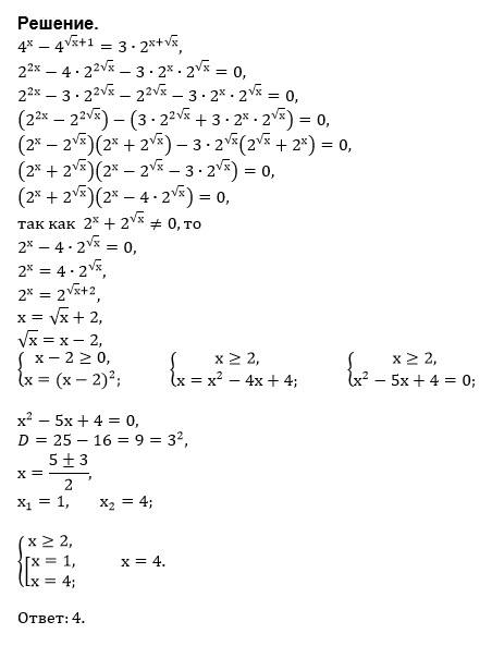
Условие

Решите уравнение

4^x-4^(sqrt(x)+1) = 3*2^(x+sqrt(x))

математика 10-11 класс 802

Решение

ОДЗ: x≥ 0

4^(x)-3*2^(x)*2^(sqrt(x))-4^(sqrt(x))*4=0
u=2^(x)>0 при любом х
v=2^(sqrt(x))>0 при любом х

Уравнение принимает вид:
u^2-3u*v-v^2=0 - однородное уравнение второго порядка.
(см похожее в тригонометрии)

Делим на v^2

t=u/v

t^2-3t-4=0
D=9+16=25
t_(1)=-1; t_(2)=4

u/v=-1 или u/v=4

Обратный переход

2^(x)/2^(sqrt(x)) = - 1 - уравнение не имеет корней, 2^(x)>0; 2^(sqrt(x))>0

2^(x)/2^(sqrt(x)) = 4

2^(x)=2^(sqrt(x)+2)

x=sqrt(x)+2

x- sqrt(x)-2=0
D=1+8=9
sqrt(x)=(1-3)/2 или sqrt(x)=(1+3)/2

sqrt(x)=-1 - уравнение не имеет корней или sqrt(x)=2 ⇒ x=4 - удовлетворяет ОДЗ

О т в е т. [b]4[/b]

Все решения

Написать комментарий

Меню

Присоединяйся в ВК