Задать свой вопрос
*более 50 000 пользователей получили ответ на «Решим всё»
Задача 3465
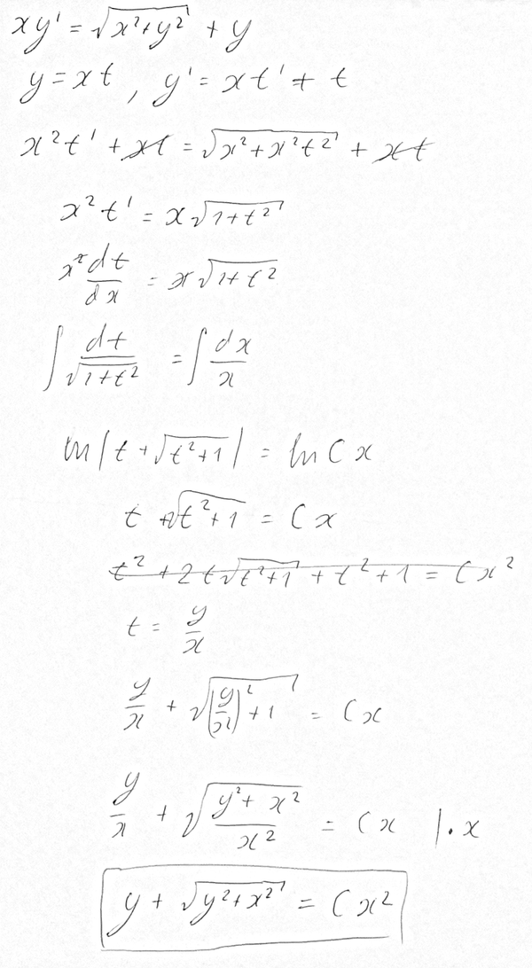
xy' = sqrt(x^2 + y^2) + y решить...
Условие
slava191
18.08.2015
xy' = sqrt(x^2 + y^2) + y решить дифференциальное уравнение
математика ВУЗ
22245
Решение
Ответ:
В решение
Написать комментарий
Меню
Решим всё
Найти задачу
Категории
Статьи
Тесты
Архив задач
Присоединяйся в ВК