Задать свой вопрос
*более 50 000 пользователей получили ответ на «Решим всё»
Задача 3464
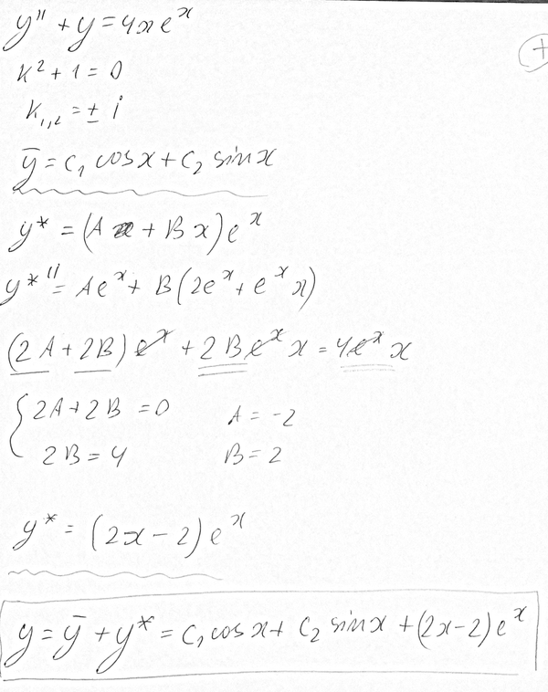
y'' + y = 4xe^2 решить дифференциальное...
Условие
slava191
18.08.2015
y'' + y = 4xe^2 решить дифференциальное уравнение
математика ВУЗ
4125
Решение
Ответ:
В решение
Написать комментарий
Меню
Решим всё
Найти задачу
Категории
Статьи
Тесты
Архив задач
Присоединяйся в ВК