Задать свой вопрос
*более 50 000 пользователей получили ответ на «Решим всё»
Задача 3463
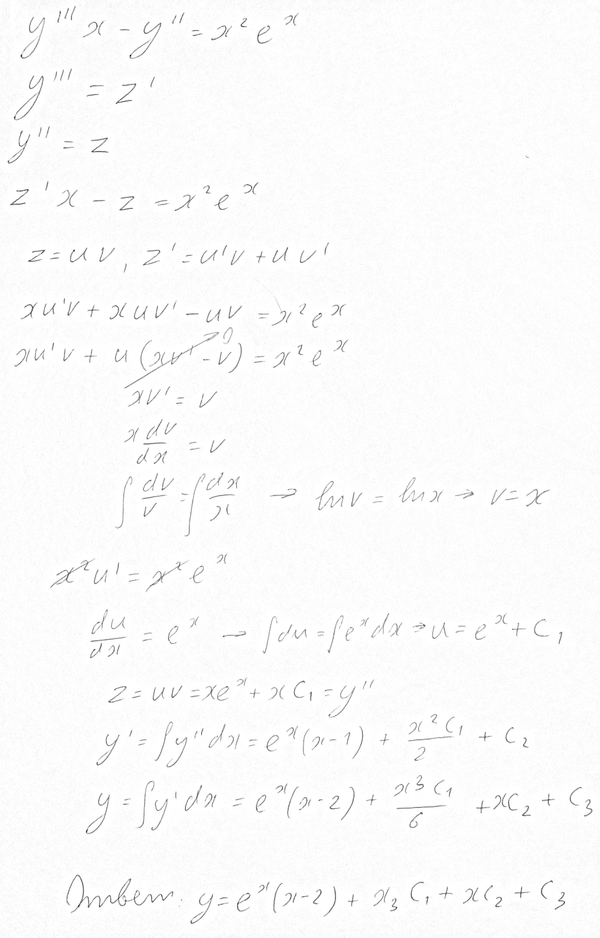
y'''x - y'' = x^2e^x решить...
Условие
slava191
18.08.2015
y'''x - y'' = x^2e^x решить дифференциальное уравнение
математика ВУЗ
2323
Решение
Ответ:
В решение
Написать комментарий
Меню
Решим всё
Найти задачу
Категории
Статьи
Тесты
Архив задач
Присоединяйся в ВК