Задать свой вопрос
*более 50 000 пользователей получили ответ на «Решим всё»
Задача 34627
...
Условие
vk411428378
2019-03-19 10:51:21
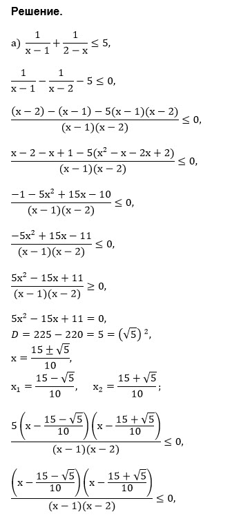
a) 1/x-1 + 1/2-x ≤5
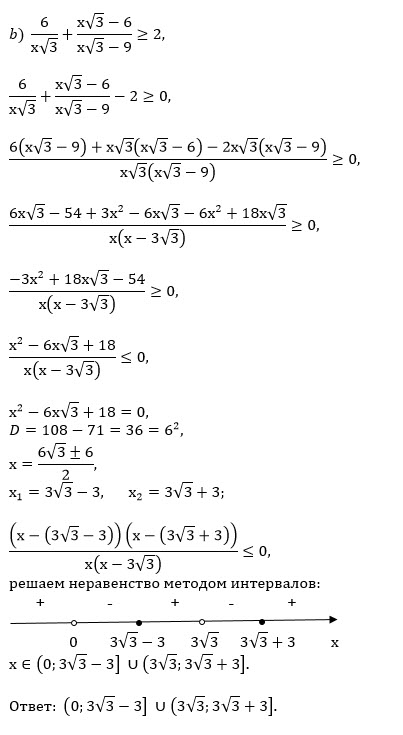
b) 6/x√3 +x√3-6/x√3-9≥2
c) 2x^2-6x/x-4≤x
d) 2x^2-5x/x-3≤x
математика 10-11 класс
919
Все решения
u821511235
2019-03-19 14:11:47
Написать комментарий
Меню
Решим всё
Найти задачу
Категории
Статьи
Тесты
Архив задач
Присоединяйся в ВК