Задать свой вопрос
*более 50 000 пользователей получили ответ на «Решим всё»
Задача 34626
Решите...
Условие
ladykaramel
2019-03-19 10:43:57
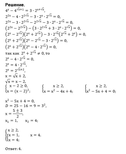
Решите уравнение:
4^x-4^(sqrt(x)+1)=3*2^(x+ sqrt(x))
математика 10-11 класс
1521
Решение
u821511235
2019-03-19 12:06:30
★
Написать комментарий
Меню
Решим всё
Найти задачу
Категории
Статьи
Тесты
Архив задач
Присоединяйся в ВК