Задать свой вопрос
*более 50 000 пользователей получили ответ на «Решим всё»
Задача 3462
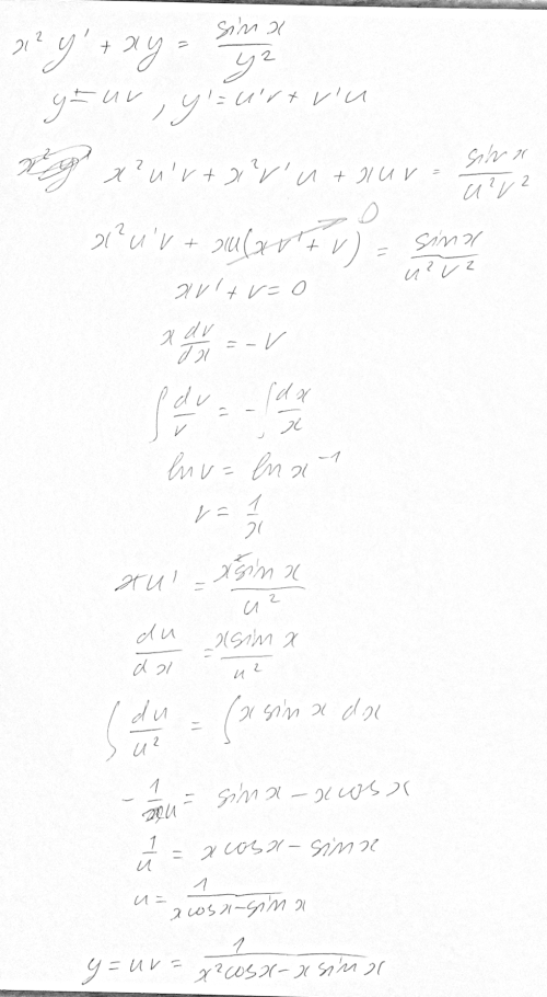
x^2y' + xy = sinx/y^2 решить...
Условие
slava191
18.08.2015
x^2y' + xy = sinx/y^2 решить дифференциальное уравнение
математика ВУЗ
1857
Решение
Ответ:
В решение
Написать комментарий
Меню
Решим всё
Найти задачу
Категории
Статьи
Тесты
Архив задач
Присоединяйся в ВК