Задать свой вопрос
*более 50 000 пользователей получили ответ на «Решим всё»
Задача 34617
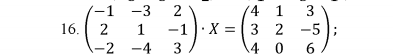
помогите решить матричное уравнение ...
Условие
vk344135258
2019-03-18 21:45:16
помогите решить матричное уравнение
математика ВУЗ
1061
Решение
sova
2019-03-18 22:03:28
★
Написать комментарий
Категория
Матрицы и определители
Меню
Решим всё
Найти задачу
Категории
Статьи
Тесты
Архив задач
Присоединяйся в ВК