Задать свой вопрос
*более 50 000 пользователей получили ответ на «Решим всё»
Задача 34602
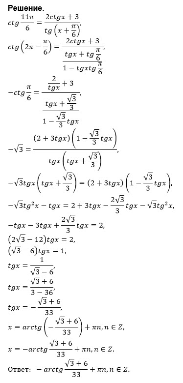
сtg 11п/6=(2сtgx+3)/tg(x+п/6)...
Условие
ptitca53
2019-03-18 17:52:53
сtg 11п/6=(2сtgx+3)/tg(x+п/6)
математика 10-11 класс
4115
Все решения
u821511235
2019-03-18 19:02:03
Написать комментарий
Меню
Решим всё
Найти задачу
Категории
Статьи
Тесты
Архив задач
Присоединяйся в ВК