Задать свой вопрос
*более 50 000 пользователей получили ответ на «Решим всё»
Задача 3460
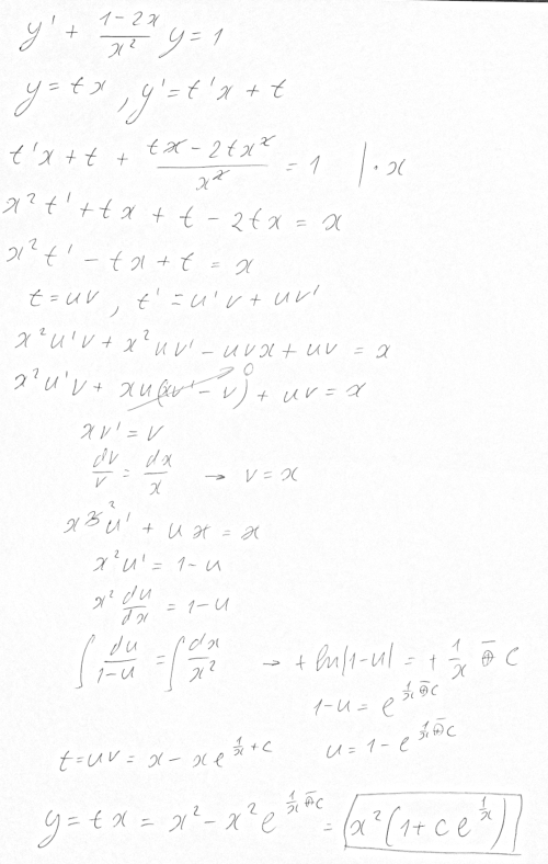
y' + ((1-2x)/x^2)y = 1 решить...
Условие
slava191
18.08.2015
y' + ((1-2x)/x^2)y = 1 решить дифференциальное уравнение
математика ВУЗ
12307
Решение
Ответ:
В решение
Написать комментарий
Меню
Решим всё
Найти задачу
Категории
Статьи
Тесты
Архив задач
Присоединяйся в ВК