Задать свой вопрос   *более 50 000 пользователей получили ответ на «Решим всё»

Задача 34591 Решите пожалуйста!!!!! f'(x)=0. ecлu...

Условие

Решите пожалуйста!!!!!
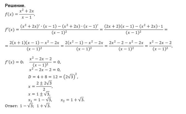
f'(x)=0. ecлu f(x)= (x^2+2x)/(x-1)

математика 10-11 класс 674

Решение

Все решения

(u/v)`=(u`*v-u*v`)/v^2

f`(x)=((x^2+2x)`*(x-1)-(x^2+2x)*(x-1)`)/(x-1)^2=

=((2x+2)*(x-1)-(x^2+2x)*1)/(x-1)^2= (2x^2+2x-2x-2-x^2-2x)/(x-1)^2=

= [b](x^2-2x-2)/(x-1)^2[/b]
f`(x)=0
x^2-2x-2=0
D=4+4=8
x_(1)= [b]1-sqrt(3)[/b];x_(2)= [b]1+sqrt(3)[/b]

Написать комментарий

Меню

Присоединяйся в ВК