Задать свой вопрос
*более 50 000 пользователей получили ответ на «Решим всё»
Задача 34585
Пожалуйста помогите ...
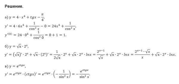
Условие
wtf
2019-03-18 13:29:45
Пожалуйста помогите
математика 10-11 класс
510
Решение
u821511235
2019-03-18 13:47:37
★
Написать комментарий
Меню
Решим всё
Найти задачу
Категории
Статьи
Тесты
Архив задач
Присоединяйся в ВК